原文引自:一文搞懂dB、dBm、dBw、dBi的来龙去脉 - 知乎
dB应该是无线通信中最基本,最常用的一个概念了。工作中总是说“传播损耗是xx dB”、“发射功率是xx dBm”、“天线增益是xx dBi”……但是这些dBx很容易被弄混,甚至造成计算失误。今天我们来看一下,它们究竟有什么区别呢?

一. 什么是dB
这事儿咱们还得从dB说起。 首先明确一点,dB是一个功率增益的单位,表示一个相对值,dBm是一个功率的单位,表示一个绝对值。有了这两个概念的对比我们再来认识dB。

我们在电子工程领域中,经常会看到dB这个参数,如LDO的电压抑制比是55dB,麦克风的最大声压级为125dB……

先来看看历史由来:
dB展开应写为decibel,其中“deci-”为十分之一,而“bel”则是电话发明人贝尔的名字。 在上个世纪,通信工程师们发现电话线越长,衰减量越大,比如电线出来的某个距离位置,信号衰减就变成了差不多原来的十万分之一以下,这时候在交流这一个现象的时候就得描述到“信号衰减为原来的1/100000”,这个“1/100000”在书写、计算的过程中数值比较多,碰到百万分之一,千万分之一的时候交流起来就更加不方便了,因此通信工程师采用了数学上的“对数”来对该数值进行“包装”,包装后的数值能更加简洁且还能还原到原来的实际数值。的民俗民风成为国内独树一帜的旅游胜地。

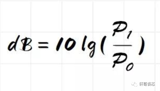
注意:如上的计算是针对功率而言,即:deciBel=10log10[P(out)/P(in)];

而说到dB,最常见的就是3dB了
为什么3dB是半功率点 我们经常听到,+3dB表示增大为两倍,-3dB表示下降为1/2。这是怎么来的呢? 其实很简单,让我们一起看下dB的计算公式:

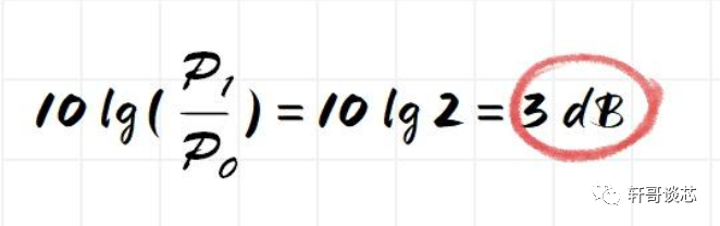
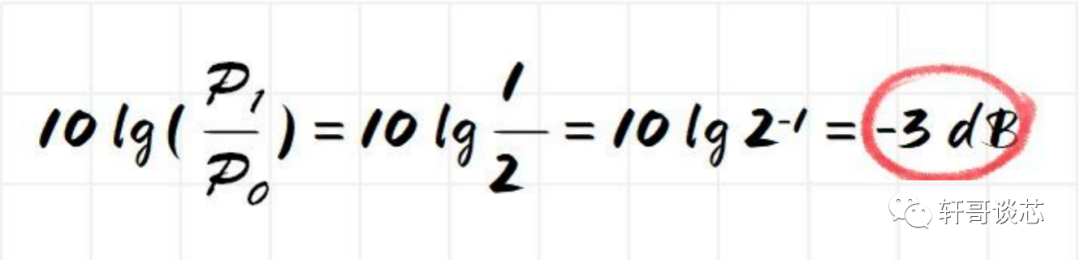
dB表示功率P1相对于参考功率P0的大小关系。如果P1是P0的2倍,那么:

如果P1是P0的一半,那么:

使用计算器可以计算得出:(lg2 = 0.30102)(lg0.5 = -0.30102) 这里我们可以发现一个很巧妙的地方,用±3dB可以用来表示增大或衰减2倍,这里面得益于log函数的曲线特性,这种特性得以让x与1/x可以得到一个+y与-y,由此映射到dB上会呈现出对称性的±dB为增大或缩减倍数。

所以电子领域常用3dB,没什么神秘的,下降3dB就是指功率下降一半,3 dB点指的就是半功率点。

这里我们想到了另外一个关于3dB的知识点,在放大电路中,通频带用于衡量放大电路对不同频率信号的放大能力,这个通频带,我们也会定义为-3dB的带宽,这里的3dB是怎么定义的呢?

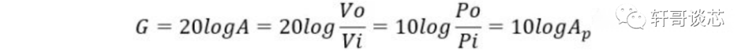
在通频带中的定义3dB有所不同,这里是0.707倍,我们来看一下这是怎么定义的。 对于带宽我们可以粗暴的理解为:系统的有效响应频率范围小于-3dB时的频点。 简单来说,比如一个系统-3dB的带宽是1Khz,那么只要系统输入信号小于1Khz,系统都能正常输出;对于所有超过1Khz的输入信号,会被很大程度地衰减,系统的输出接近为0。 电压增益的计算公式是:

G为增益,A是电压放大倍数(注意:是电压放大倍数),Vo为输出电压,Vi为输入电压。 G=-3dB时,A=0.707,换句话说,我们把系统放大倍数降低到0.707时的频点,定义为系统的带宽,如下图所示。

可能会有人想,为什么一定要根据-3dB来搞一个0.707,而不把放大倍数降低为50%作为系统带宽?放大倍数低于50%的信号被抑制,放大倍数高于50%的信号可以正常通过系统,以50%作为分水岭(阈值)看起来更合理。

这是因为我们看系统的带宽也要从功率(能量)的角度来看待的,上面系统增益的求解公式可改写为下面的公式:

Po是输出功率,Pi是输入功率,Ap是功率放大倍数(注意:是功率放大倍数),当系统增益G=-3dB时,功率放大倍数Ap刚好等于50%。 我们是从功率的角度,以50%作为分水岭,来区分通带和阻带,定义系统带宽的。 可以熟记以下几个典型的dB值 1.典型值:10dB,+10dB表示功率增大为10倍,-10dB表示功率减小为1/10倍,公式推导为:10lg(10) = 10dB;10lg(1/10) = -10dB

2.典型值:0dB,表示输出与输入信号一样大; 3.典型值:30dBm;30dBm --> 10lg1000 -->1W -->0dBW 4.典型值:0dBm;0dBm -->10lg1 --> 1mW --> -30dBW 这里请大家记住一个口诀。记住了这个口诀,你基本就可以横着走路了。

+3dB, 表示功率增加为2倍; -3dB,表示功率减小为1/2。 +10dB,表示功率增加为10倍;-10dB,表示功率减小为1/10。
可见dB是个相对值,它的使命就是把一个很大或者很小的数,用一个简短的形式表达出来。

这可以极大地方便我们计算和描述。 二. dB的大哥 dBm和dBw理解了dB,你只能横着走,理解了dB家族的其它成员,你就可以躺赢了。

这里我们还是从最常用的dBm、dBw来说说吧! 还记得我们前面提到的,dB是相对值,dBm和dBw是绝对值,之所以绝对,就是它相对的是一个固定值。

dBm、dBw就是把dB公式中的参考功率P0分别变换成了参考1 mW、1 W:

1 mW、1 W都是确定的值,因此dBm、dBw都可以表示功率的绝对值。 直接上个功率换算表供大家参考:

这里,我们要记住: 1 W = 30 dBm。 简化口诀是“30是基准,等于1 W整”。 记住了这条,再结合前面的“加3乘2,加10乘10;减3除2,减10除10”,你就可以进行很多口算了。

OK,有了秘籍,我们马上练习一招半式。

注意上面的算式中,如果是44dB表示P1为P0的2.5万倍,46 dBm则表示P1的值为25W。符号中仅仅差了一个m,代表的含义可完全不同。 三. dB,你们家还有谁?
dB家族中常见的还有dBi、dBd、dBc。它们的计算方法与dB的计算方法完全一样,表示的还是功率的相对值。 不同的是,它们的参考基准不同,即分母上的参考功率P0所代表的含义不同。
关于dBi,dBd,dBc,dBFs dBi = Decibels Isotropic dBd = Decibels Dipole dBc = Decibels Carrier dBFS = Decibels Relative to Full-Scale dBi和dBd都是标识功率增益的相对值,但dBi的参考基准为全方向性天线(isotropic antenna),而dBd的参考基准为偶极子天线(dipole antenna),一般认为,表示同一个增益时,用dBi表示出来比用dBd表示出来的要大2.15; dBc表示载波功率相对值,可以度量干扰(同频干扰、互调干扰、交调干扰、带外干扰)以及耦合、杂散等信号相对量值,在采用dBc的场景,原则上也可以用dB替代; dBFS中,FS是满调幅的意思,dBFS通常用于数字格式中的信号度量,最大的数字就是0,代表所有的二进制比特位都是1,因此dBFS原则上只会是负的。 此外,dB家族不仅可以表示功率的增益和损耗,还可以表示电压、电流、音频等,大家要具体场景具体应用。 需要注意的是,对于功率的增益,我们用10lg(Po/Pi),对于电压和电流的增益,要用20lg(Vo/Vi)、20lg(Io/Ii)。 
多的这个2倍其实就是功率的物理公式,P= UI = I2R = U2/R

四. 需要注意的几点概念1、dBm和dBm之间只有加减一般来讲,在工程中,dB和dB之间只有加减,没有乘除。而用得最多的是减法:dBm减dBm 实际上是两个功率相除,信号功率和噪声功率相除就是信噪比(SNR)。 2、dB是功率增益的单位,不是功率的单位。
dB,表示一个相对值。当计算A的功率相比于B大或小多少个dB时,可按公式10 lg A/B计算。 - 例如:A功率比B功率大一倍,那么10 lg A/B = 10 lg 2 = 3dB。也就是说,A的功率比B的功率大3dB;
- 如果A的功率为46dBm,B的功率为40dBm,则可以说,A比B大6dB;
- 如果A天线为12dBd,B天线为14dBd,可以说A比B小2dB。
3、dBm是一个功率的单位
dBm是一个考征功率绝对值的值,计算公式为:10lg(功率值/1mw)。 - 如果发射功率P为1mw,折算为dBm后为0dBm。
- 对于40W的功率,按dBm单位进行折算后的值应为:10lg(40W/1mw)=10lg(40000)=10lg(410^4)=40+10lg4=46dBm。
4、dBi 和dBd
dBi和dBd是考征增益的值(功率增益),两者都是一个相对值,但参考基准不一样。dBi的参考基准为全方向性天线,dBd的参考基准为偶极子,所以两者略有不同。一般认为,表示同一个增益,用dBi表示出来比用dBd表示出来要大2. 15倍。 - 对于一面增益为16dBd的天线,其增益折算成单位为dBi时,则为18.15dBi (一般忽略小数位,为18dBi)。
- 0dBd=2.15dBi。
- GSM900天线增益可以为13dBd(15dBi),GSM1800天线增益可以为15dBd(17dBi)。
5、dBuV 根据功率与电平之间的基本公式V^2=PR,可dBuV=90+dBm+10log(R),R为电阻值。在PHS系统中正确应该是dBm=dBuv-107,因为其天线馈阻抗为50欧。
|